【新聞】商務部對原產于美國、韓國、歐盟的EPDM橡膠發起反傾銷調查
中華人民共和國商務部
公 告
2019年 第29號
中華人民共和國商務部(以下簡稱商務部)于2019年5月8日收到中國石油天然氣股份有限公司吉林石化分公司和上海中石化三井彈性體有限公司(以下稱申請人)代表國內三元乙丙橡膠產業正式提交的反傾銷調查申請,申請人請求對原產于美國、韓國、歐盟的進口三元乙丙橡膠進行反傾銷調查。商務部依據《中華人民共和國反傾銷條例》有關規定,對申請人的資格、申請調查產品的有關情況、中國同類產品的有關情況、申請調查產品對國內產業的影響、申請調查國家(地區)的有關情況等進行了審查。
根據申請人提供的證據和商務部的初步審查,申請人三元乙丙橡膠的合計產量在2017年、2018年均占同期中國同類產品總產量的50%以上,符合《中華人民共和國反傾銷條例》第十一條和第十三條有關國內產業提出反傾銷調查申請的規定。同時,申請書中包含了《中華人民共和國反傾銷條例》第十四條、第十五條規定的反傾銷調查立案所要求的內容及有關證據。
根據上述審查結果,依據《中華人民共和國反傾銷條例》第十六條的規定,商務部決定自2019年6月19日起對原產于美國、韓國、歐盟的進口三元乙丙橡膠進行反傾銷立案調查。現將有關事項公告如下:
一、立案調查及調查期
自本公告發布之日起,商務部對原產于美國、韓國、歐盟的進口三元乙丙橡膠進行反傾銷立案調查,本次調查確定的傾銷調查期為2018年1月1日至2018年12月31日,產業損害調查期為2015年1月1日至2018年12月31日。

二、被調查產品及調查范圍
調查范圍:原產于美國、韓國、歐盟的進口三元乙丙橡膠
被調查產品名稱:三元乙丙橡膠
英文名稱:Ethylene-Propylene-non-conjugated Diene Rubber或EthylenePropylene Diene Monomer(EPDM)
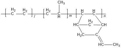
化學結構式:

物理化學特性:三元乙丙橡膠是乙烯、丙烯以及非共軛二烯烴的三元共聚物,常溫下外觀為白色或者微黃色固體,易于混合。三元乙丙橡膠的物理性能、化學特征和加工性能主要因聚合體的分子結構不同而異,而與分子結構相關的因素有第三單體種類、門尼粘度和充油含量等各種要素。三元乙丙橡膠具有較好的耐老化性、耐化學品性、耐低溫性及介電性能。
主要用途:三元乙丙橡膠用途比較廣泛,可用于建筑、電線電纜、汽車工業、交通等領域。建筑方面,主要用于屋頂單層防水卷材等;電線電纜方面,主要用于民用和商用建筑的電力輸入線、建筑機械用電纜、礦用電纜、核電站用電纜、汽車點火線、控制及信號電纜等;汽車工業方面,主要用于汽車、卡車和公共汽車非輪胎部件,包括汽車的水箱及耐熱膠管、密封條、橡膠帶、車身及底盤的部件、擋雨條、底板和環管等;交通方面主要應用于車輛車門窗密封條、減震、止水帶等。
該產品歸在《中華人民共和國進出口稅則》:40027010和40027090項下。
三、登記參加調查
任何利害關系方應于本公告發布之日起20天內,向商務部貿易救濟調查局登記參加本次反傾銷調查。參加調查的利害關系方應根據《登記參加調查的參考格式》提供基本身份信息、向中國出口或進口本案被調查產品的數量及金額、生產和銷售同類產品的數量及金額以及關聯情況等說明材料。《登記參加調查的參考格式》可在相關網站(網址附后,下同)下載。
本公告所稱的利害關系方是指《中華人民共和國反傾銷條例》第十九條規定的個人和組織。
四、查閱公開信息
利害關系方可在相關網站下載或到商務部貿易救濟公開信息查閱室(電話:0086-10-65197878)查找、閱覽、抄錄并復印本案申請人提交的申請書的非保密文本。調查過程中,利害關系方可通過相關網站查詢案件公開信息,或到商務部貿易救濟公開信息查閱室查找、閱覽、抄錄并復印案件公開信息。
五、對立案的評論
利害關系方對本次調查的產品范圍及申請人資格、被調查國家(地區)及其他相關問題如需發表評論,可于本公告發布之日起20天內將書面意見提交至商務部貿易救濟調查局。
六、調查方式
根據《中華人民共和國反傾銷條例》第二十條的規定,商務部可以采用問卷、抽樣、聽證會、現場核查等方式向有關利害關系方了解情況,進行調查。
為獲得本案調查所需要的信息,商務部通常在本公告規定的登記參加調查截止之日起10個工作日內向涉案的國外出口商或生產商、國內生產者和國內進口商發放調查問卷。登記參加調查的利害關系方也可以從相關網站下載調查問卷。

《三元乙丙橡膠反傾銷案國外出口商或生產商調查問卷》詢問信息包括公司的結構和運作、被調查產品、對中國的出口銷售、國內銷售、經營和財務等相關信息、生產成本和相關費用、估算的傾銷幅度及核對單等內容。《三元乙丙橡膠反傾銷案國內生產者調查問卷》詢問信息包括公司基本情況、國內同類產品情況、經營和相關信息、財務和相關信息、其他需要說明的問題等內容。《三元乙丙橡膠反傾銷案國內進口商調查問卷》詢問信息包括公司基本情況、被調查產品貿易和相關信息等內容。
未登記參加調查的其他利害關系方可直接從相關網站下載,或向商務部貿易救濟調查局索取以上調查問卷,并按要求填報。
所有公司應在規定時間內提交完整、準確的答卷。答卷應當包括調查問卷所要求的全部信息。
七、保密信息的提交和處理
利害關系方向商務部提交的信息如需保密的,可向商務部提出對相關信息進行保密處理的請求并說明理由。如商務部同意其請求,申請保密的利害關系方應當同時提供該保密信息的非保密概要。非保密概要應當包含充分的有意義的信息,以使其他利害關系方對保密信息能有合理的理解。如不能提供非保密概要,應說明理由。如利害關系方提交的信息未說明需要保密的,商務部將視該信息為公開信息。
八、不合作的后果
根據《中華人民共和國反傾銷條例》第二十一條的規定,商務部進行調查時,利害關系方應當如實反映情況,提供有關資料。利害關系方不如實反映情況、提供有關資料的,或者沒有在合理時間內提供必要信息的,或者以其他方式嚴重妨礙調查的,商務部可以根據已經獲得的事實和可獲得的最佳信息作出裁定。
九、調查期限
本次調查自2019年6月19日起開始,通常應在2020年6月19日前結束調查,特殊情況下可延長至2020年12月19日。
十、商務部聯系方式
地址:中國北京市東長安街2號
郵編:100731
商務部貿易救濟調查局
電話:0086-10-65198194,65198474
傳真:0086-10-65198172
相關網站: 商務部網站貿易救濟調查局子網站(網址為http://trb.mofcom.gov.cn)